Glaucoma is a progressive optic neuropathy resulting in visual field (VF) damage corresponding to the loss of retinal ganglion cells. Lowering IOP is the mainstay of glaucoma treatment, as every 20% increase in IOP from baseline corresponds to approximately a 3dB loss of mean deviation (MD) on VF testing.1
Patients diagnosed with or at risk for glaucoma undergo a combination of subjective and objective testing to assess for progression. VF is a subjective test administered through standard automated perimetry, while optical coherence tomography (OCT) is an objective test to detect structural damage of the optic nerve head. Although VF testing is a necessary component of glaucoma monitoring, its psychometric properties and subsequent variability make it inherently less reliable. Therefore, OCT is an important complement to the VF, especially for patients with early glaucoma or less reliable VF tests.2,3
With no absolute guidelines on how often to use VF for glaucoma monitoring, the timeline of follow-up testing is nuanced and dependent on various patient- and provider-related factors. Here, we will summarize the literature on VF progression as well as the various VF testing protocols proposed.
FREQUENCY OF VF TESTING
Up to 30% of patients actively treated for glaucoma continue to demonstrate VF progression, which can be defined as a statistically significant (p < 0.05) negative slope of plotted MD values at consecutive visits.4 Our statistical ability to identify progression depends on four main factors: the rate of progression (easier to detect faster change), the time between tests (more time makes it easier), the number of tests (more tests makes it easier to detect change) and the variability of MD over time (less variability makes it easier).5-7
Determining the protocol for each patient’s VF testing should involve taking these factors into account — within reasonable expectation of patient and provider burden:
1. Rate of progression. VF progression rates vary widely among patients (an estimated range of -5.58 to +1.24 dB/year) with a small subset of patients (5.6%) being rapid progressors with rates progressing worse than -2.5 dB per year.8 Factors associated with more rapid progression include increasing patient age and worse initial rate of VF change (regardless of reduction in IOP).9,10
2. Time between tests and number of tests. The chance of detecting progression increases with follow-up time and increased frequency of testing. As the frequency of tests increases from once to twice and three times per year, the percentage of stable eyes demonstrating progression increases from 3% to 7% and 9%, respectively.9,7
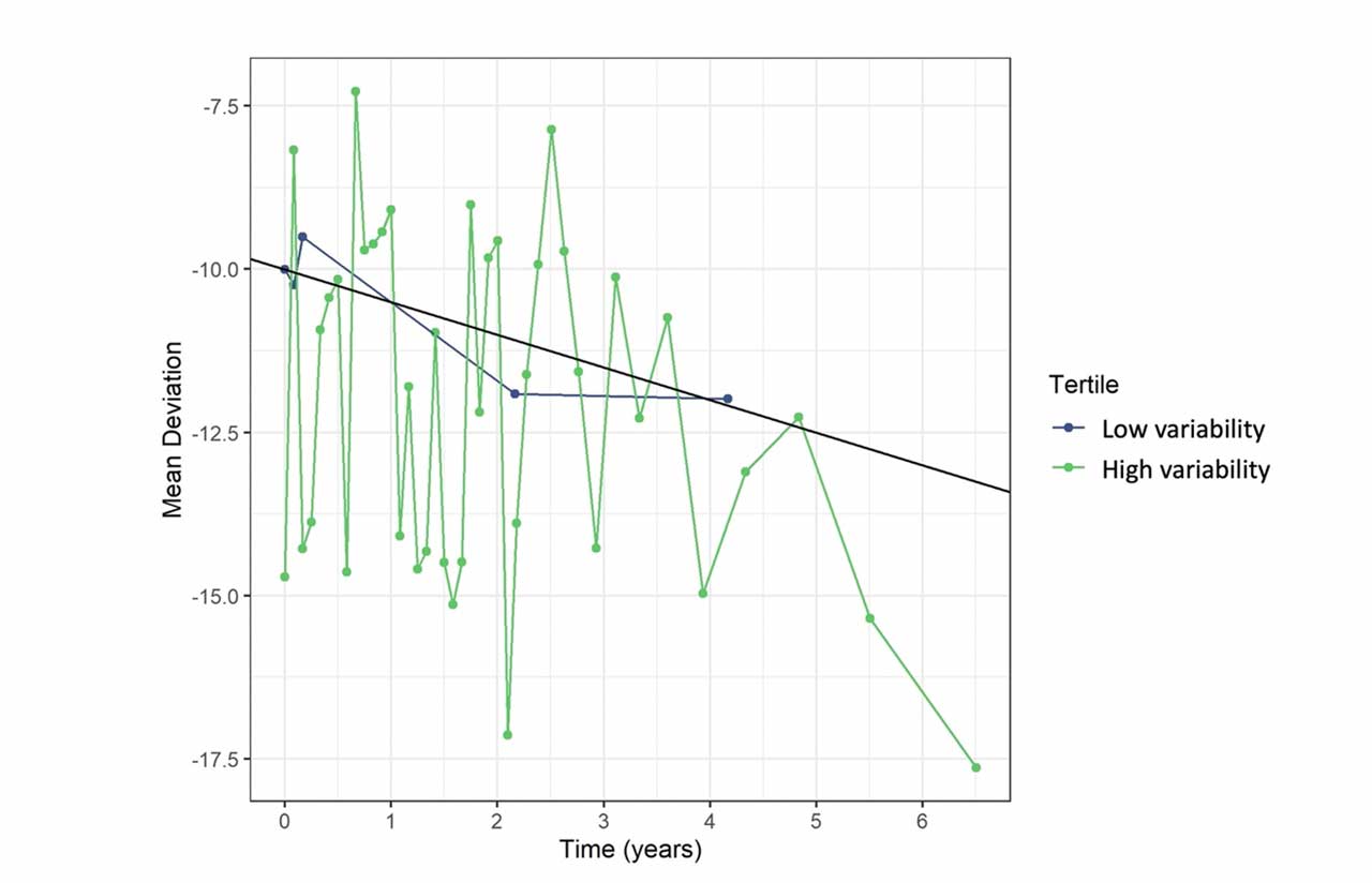
3. Variability. A certain degree of retest variability is inherent in VF testing due to the limitations of the perimeter and testing strategy themselves, although some patients are more predisposed towards greater variability than others.11 Increased glaucoma severity (and decreased sensitivity) corresponds with significantly greater variability — once sensitivities decrease to 10 dB or worse, the residuals span almost the entire dynamic range of the perimeter.12 Furthermore, the pattern of VF damage influences variability, with more diffuse damage yielding more variable fields than localized damage, even with similar MDs.13 More nuanced factors may also influence fields. For example, Black individuals on average have a higher standard deviation of residuals compared to White individuals.14 A study by Rabiolo et al constructing a multivariable model accounting for these known predictors of VF fluctuation still only accounted for 58% of the total variability observed.15 The figure above demonstrates how more frequent testing is needed in patients with high variability vs low variability to establish progression.
VF TESTING PROTOCOLS
The AAO guidelines recommend that VF testing be performed at least annually, although more frequent testing is often needed.16 European Glaucoma Society guidelines recommend VF testing at least three times/year in the first 2 years after initial diagnosis, based on the protocol proposed by Chauhan et al in 2008.5 Although cost-effective due to its shorter time to detect progression than annual testing, obtaining such frequent fields is, in reality, rarely practiced.17,18
Barriers to frequent testing include patient preferences, testing capacity
at clinics and potential issues with insurance coverage. Given the strong evidence for the need for more frequent testing, these barriers need to be systematically addressed to reduce vision loss from glaucoma.
In 2017, Wu et al suggested optimizing detection of progression with a less rigorous schedule by obtaining two reliable baseline VF tests followed by semiannual testing, with one confirmatory test to verify observed progression. One confirmatory test was shown to decrease the percentage of eyes with considered progression from 19% to 11%. Increasing testing from annually to semiannually increased percentage of detected progression from 29% to 62%. Semiannual testing is also recommended for medium- to high-risk ocular hypertension patients, and confirmatory testing is especially important due to the high variability among this cohort.19,20
Other proposed VF protocols include the “wait-and-see” approach of clustering VF tests at the beginning and end of a predetermined observation period (found to identify more patients with rapid progression and reduce rates of false positives) and “frontloading” VFs by having patients take two SITA Faster tests per eye on the same visit (on average, improved performance was seen on the second test and achieving greater testing frequency is more viable with a faster strategy). The Fast-PACE (Progression Assessment through Clustered Evaluation) study demonstrated that a clustered approach to VF testing can detect fast progressors. Primary open-angle glaucoma (POAG) patients with verified abnormal VF tests took two clusters of tests scheduled 6 months apart with five weekly tests per cluster, which had a 71% sensitivity and 94% specificity in identifying those with progression.21 However, the same barriers to frequent VF testing mentioned above limit the practicality of these paradigms.
BARRIERS TO TESTING
A recent study assessing VF frequency among enrollees in a US-wide claims database of at least 40 years of age and a diagnosis of OAG revealed that 8.75% did not undergo any VF testing during the 10-year study period and 68.2% underwent <0.9 VF tests per year.22 Older age, female sex and having a diagnosis of diabetic retinopathy were associated with less frequent VF tests. As the study only includes patients with health insurance and at least 4 years of enrollment, the total percentage of US OAG patients not receiving any VF testing is likely significantly higher. In a separate study, enrollees in Medicaid insurance were found to have 67% decreased odds of receiving VF testing compared with those having commercial health insurance, a disparity that is exacerbated when accounting for race (with a greater disparity between insurances among Black than White patients).23 Myriad barriers to more frequent follow-ups noted by glaucoma patients include health insurance, length of appointments, forgetfulness about appointments and transportation.24
FUTURE DIRECTIONS OF VF TESTING
Ultimately, providers should tailor the frequency of testing to the patient depending on the patient’s variability, rate of progression desired to detect and time frame to detect progression within. Future research aims to develop a clinical decision support system integrated with the electronic health record that can determine a patient’s testing protocol based on the above parameters.
Access to testing is a major hurdle to detecting glaucoma progression. Head-mounted perimeters such as virtual reality headsets are promising adjuncts to the Humphrey Field Analyzer (Zeiss), and many have shown comparability to the SITA algorithm with respect to VF parameters.25,26 Although further research is required to assess whether these novel tests can detect progression, they are promising tools to increase accessibility to VF testing in the future.
ASYNCHRONOUS TELEMEDICINE SERVICE
Furthermore, to reduce wait times, expand access to care, and facilitate social distancing in the wake of the COVID-19 epidemic, some glaucoma clinics have transitioned to an asynchronous telemedicine service, in which patients complete glaucoma testing independent of seeing their ophthalmologist. Testing usually comprises BCVA, IOP checks, and either VF testing, OCT retinal nerve fiber layer imaging, or both. Ophthalmologists review results within a designated interval after patient testing and generate a report that is shared with the patient. Patients exhibiting signs of glaucomatous progression are scheduled for an in-person follow-up visit with the ophthalmologist. Research so far has shown asynchronous testing to be cost-effective and overall favorable for patients, with 85% of participants rating a virtual glaucoma clinic as very good or good compared to traditional care in one study.27, 28
CONCLUSION
Increasing the frequency of VF testing from once to twice a year offers the greatest benefit in reducing time to detect progression. Ultimately, the frequency of testing should depend on the individual patient, with more frequent testing (ie, every 3 or 4 months) recommended for those with high VF variability, more severe diagnosis and fast progression, particularly among younger patients. OM
REFERENCES
1. Musch DC, Gillespie BW, Niziol LM, Lichter PR, Varma R; CIGTS Study Group. Intraocular pressure control and long-term visual field loss in the Collaborative Initial Glaucoma Treatment Study. Ophthalmology. 2011;118(9):1766-1773.
2. Sommer A, Katz J, Quigley HA, Miller NR, Robin AL, et al. Clinically detectable nerve fiber atrophy precedes the onset of glaucomatous field loss. Arch Ophthalmol. 1991;109(1):77-83.
3. Yusof AMZ, Othman O, Tang SF, Hassan MR, Din NM. Diagnostic evaluation of optical coherence tomography parameters in normal, preperimetric and perimetric glaucoma patients. Int J Ophthalmol. 2022;15(11):1782-1790. Published 2022 Nov 18.
4. Wu Z, Medeiros FA. Comparison of Visual Field Point-Wise Event-Based and Global Trend-Based Analysis for Detecting Glaucomatous Progression. Transl Vis Sci Technol. 2018;7(4):20. Published 2018 Aug 27.
5. Chauhan BC, Garway-Heath DF, Goñi FJ, Rossetti L, Bengtsson B, Viswanathan AC, Heijl A. Practical recommendations for measuring rates of visual field change in glaucoma. Br J Ophthalmol. 2008;92(4):569-573.
6. Crabb DP, Russell RA, Malik R, et al. Frequency of visual field testing when monitoring patients newly diagnosed with glaucoma: mixed methods and modelling. Southampton (UK): NIHR Journals Library; August 2014.
7. Wu Z, Saunders LJ, Daga FB, Diniz-Filho A, Medeiros FA. Frequency of Testing to Detect Visual Field Progression Derived Using a Longitudinal Cohort of Glaucoma Patients. Ophthalmology. 2017;124(6):786-792.
8. Heijl A, Buchholz P, Norrgren G, Bengtsson B. Rates of visual field progression in clinical glaucoma care. Acta Ophthalmol (Copenh). 2013;91(5):406-412.
9. Chauhan BC, Mikelberg FS, Artes PH, Balazsi AG, LeBlanc RP, Lesk MR, Nicolela MT, Trope GE. Canadian Glaucoma Study: 3. Impact of risk factors and intraocular pressure reduction on the rates of visual field change [published correction appears in Arch Ophthalmol. 2010 Dec;128(12):1633]. Arch Ophthalmol. 2010;128(10):1249-1255.
10. Chauhan BC, Malik R, Shuba LM, Rafuse PE, Nicolela MT, Artes PH. Rates of glaucomatous visual field change in a large clinical population. Invest Ophthalmol Vis Sci. 2014;55(7):4135-4143. Published 2014 Jun 10.
11. Wall M, Zamba GKD, Artes PH. The Effective Dynamic Ranges for Glaucomatous Visual Field Progression With Standard Automated Perimetry and Stimulus Sizes III and V. Invest Ophthalmol Vis Sci. 2018;59(1):439-445.
12. Russell RA, Crabb DP, Malik R, Garway-Heath DF. The relationship between variability and sensitivity in large-scale longitudinal visual field data. Invest Ophthalmol Vis Sci. 2012;53(10):5985-5990. Published 2012 Sep 6.
13. Russell RA, Garway-Heath DF, Crabb DP. New insights into measurement variability in glaucomatous visual fields from computer modelling. PLoS One. 2013;8(12):e83595. Published 2013 Dec 30.
14. Stagg B, Mariottoni EB, Berchuck S, Jammal A, Elam AR, Hess R, Kawamoto K, Haaland B, Medeiros FA. Longitudinal visual field variability and the ability to detect glaucoma progression in black and white individuals. Br J Ophthalmol. Published online May 13, 2021.
15. Rabiolo A, Morales E, Kim JH, et al. Predictors of Long-Term Visual Field Fluctuation in Glaucoma Patients. Ophthalmology. 2020;127(6):739-747.
16. Gedde SJ, Vinod K, Wright MM et al. Primary Open-Angle Glaucoma Preferred Practice Pattern®. Ophthalmology. 2021;128(1):P71-P150.
17. Sabouri S, Haem E, Masoumpour M, et al. Frequency of Visual Fields Needed to Detect Glaucoma Progression: A Computer Simulation Using Linear Mixed Effects Model. J Glaucoma. 2023;32(5):355-360.
18. Boodhna T, Crabb DP. More frequent, more costly? Health economic modelling aspects of monitoring glaucoma patients in England. BMC Health Serv Res. 2016;16(1):611. Published 2016 Oct 22.
19. Keltner JL, Johnson CA, Quigg JM, Cello KE, Kass MA, Gordon MO. Confirmation of visual field abnormalities in the Ocular Hypertension Treatment Study. Ocular Hypertension Treatment Study Group. Arch Ophthalmol. 2000;118(9):1187-1194.
20. Melchior B, De Moraes CG, Paula JS, et al. What is the Optimal Frequency of Visual Field Testing to Detect Rapid Progression Among Hypertensive Eyes? J Glaucoma. 2023;32(9):721-724.
21. Medeiros FA, Malek DA, Tseng H, et al. Short-term Detection of Fast Progressors in Glaucoma: The Fast-PACE (Progression Assessment through Clustered Evaluation) Study. Ophthalmology. Published online December 29, 2023.
22. Stagg BC, Stein JD, Medeiros FA, Horns J, Hartnett ME, Kawamoto K, Hess R. The Frequency of Visual Field Testing in a US Nationwide Cohort of Individuals with Open-Angle Glaucoma. Ophthalmol Glaucoma. 2022;5(6):587-593.
23. Elam AR, Andrews C, Musch DC, Lee PP, Stein JD. Large Disparities in Receipt of Glaucoma Care between Enrollees in Medicaid and Those with Commercial Health Insurance. Ophthalmology. 2017;124(10):1442-1448.
24. Stagg BC, Granger A, Guetterman TC, Hess R, Lee PP. The Burden of Caring for and Treating Glaucoma: The Patient Perspective. Ophthalmol Glaucoma. 2022;5(1):32-39.
25. Matsumoto C, Yamao S, Nomoto H, et al. Visual Field Testing with Head-Mounted Perimeter ‘imo’. PLoS One. 2016;11(8):e0161974. Published 2016 Aug 26.
26. Razeghinejad R, Gonzalez-Garcia A, Myers JS, Katz LJ. Preliminary Report on a Novel Virtual Reality Perimeter Compared With Standard Automated Perimetry. J Glaucoma. 2021;30(1):17-23.
27. Lee YF, Chay J, Husain R, et al. Three-year Outcomes of an Expanded Asynchronous Virtual Glaucoma Clinic in Singapore. Asia Pac J Ophthalmol (Phila). 2023;12(4):364-369.
28. Azzopardi M, Prokosch-Willing V, Michelessi M, Fea AM, Oddone F, Mercieca K. The current use of glaucoma virtual clinics in Europe. Eye (Lond). 2023;37(7):1350-1356.







